热门搜索:
冲压铸造注塑齿轮发动机总成

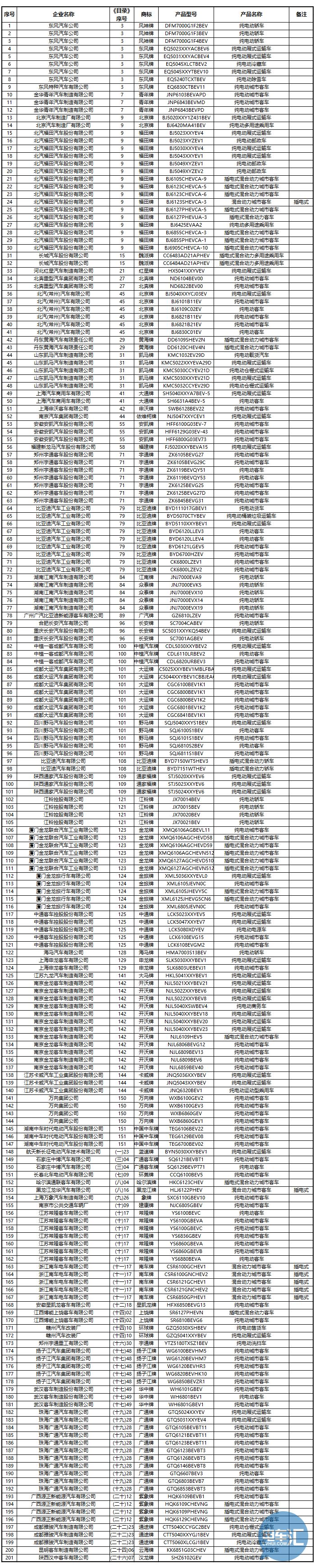
第6批新能源汽车目录发布,201款车型入列

电车汇 2017-07-07 匿名
分享到:

7月6日,工信部发布《新能源汽车推广应用推荐车型目录》(2017年第6批),共计201款新能源汽车进入。新能源乘用车22款,其中纯电动车型18款,插电式混合动力车型4款;新能源客车122款,其中纯电动车型91款,插电式及混合动力车型31款;纯电动专用车57款。

分享到:

发表评论:

最新评论